Matemática de Bhaskara
 
PROCESSO

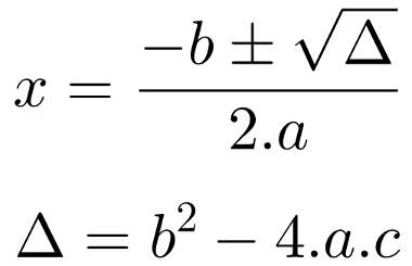
Uma equação é uma expressão matemática que possui em sua composição incógnitas, coeficientes, expoentes e um sinal de igualdade. As equações são caracterizadas de acordo com o maior expoente de uma das incógnitas. Veja:

2x² + 2x + 6 = 0. Há duas incógnitas x nessa equação, e uma delas possui expoente 2. Essa equação é classificada como do 2º grau

http://origemdebhaskara.blogspot.com.br/p/tudo-sobre-bhaskara.html
http://exercicios.mundoeducacao.bol.uol.com.br/exercicios-matematica/exercicios-sobre-equacao-2-grau
http://brasilescola.uol.com.br/matematica/equacao-2-grau.htm
   
   
Aventura na Web criada por Evellin Alvarenga Pereira com